画像をダウンロード 等比数列 一般項 321060
前回は等差数列の練習問題を解きました。 今回から、等比数列について解説します。 等比数列とは 等差数列が、項の差が等しい数列であったのに対して、等比数列は、項の増減の比率が等しい数列のことです。 具体的には、以下のように、ある項に一定の数をかけると次の項となる数列 等比数列の一般項の公式を覚えるには、一般項の成り立ちを理解するのが一番です。 初項 \(a\)、公比 \(r\) の等比数列 \(\{a_n\}\) は以下のように表せます。1.等差数列 一定の差で増える(もしくは減る) 一般項:a n =a+(n̠̠-1)d (例)1,3,5,7,9, ‥‥ 2.等比数列 一定の比で増える(もしくは減る) 一般項:a n =ar n1 (例)2,4,8,16,32, ‥‥ 3.階差数列
等比等差数列通项公式 信息图文欣赏 信息村 K0w0m Com
等比数列 一般項
等比数列 一般項-と 一般項で数列を表せている ことが分かりますね。 ② 等比数列パターン さて、等差数列が分かったら、次は等比数列です。 等比数列とは、隣り合う項 \(a_n\) と \(a_{n1}\) の 比が一定 である数列のこ この等比数列の一般項は で(この式の導き方はあとで扱います)、例えば数列の中の7番目の数を知りたい場合、上の式にn=7を代入すればわかるのです! ちなみに7番目の数は、 3, 6, 12, 24, 48, 96, 192 より、192です。 上の一般項の式に実際にn=7を代入してみると、



高校数学b 等比数列 A N の一般項 1 映像授業のtry It トライイット
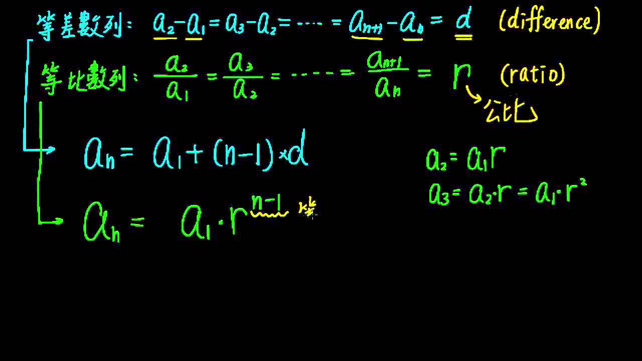
等比数列の一般項 一般項とは、n 番目の数を n で表したものです。等比数列の一般項(n 番目の数)は初項 a に r の n1 乗をかけた数です。 (プリントの上だけを見てください) 等比数列の一般項 \ a_{n}= a r^{n1} \ (r \neq 1) \ 等比数列の和の公式定数 係数の3項間漸化式が の形で与えられているとき, を満たす定数, を見つけると,数列 は, 初項 公比 の等比数列になるので, (I) まず2項間漸化式 の一般項を求めることができます. 1組の定数, から得られる2項間漸化式から,さらに数列 の一般で考えます。 等比数列 とは、 (後ろの数)÷ (前の数)= (公比r) となる数列でしたね。 この式から、 (後ろの数)= (前の数)× (公比r) と変形できます。 と表せますね。 同様に、 です。 つまり 等比数列 {a n }の一般項a n は、初項a 1 に、公比rを (n1)回かけた数 であることがわかりますね! したがって次のポイントのように表せます。 等比数列の一般項は数列の重要
最後に,等比数列の和の公式を使ったいろいろな応用例を紹介します。 難しい数列の和の計算に応用する ・等差数列×等比数列の和は求まる。 ∑ k = 1 n k p r k \displaystyle\sum_{k=1}^nk^pr^k k = 1 ∑ n k p r k というタイプの和です。よって、求める数列の一般項は、\(a_n=3^{n1}2\cdots(解)\) 階差数列が等比数列になっている場合でも 基本的にはやり方同じ! Σの計算方法がちょっと違ってくるだけだね。 漸化式と階差数列の問題 等比数列 は等差数列と並んで基本的な数列の1つです。 一般項 や 等比中項 に関しては一度学習すれば問題はないのですが、 等比数列の和 は受験生が間違えやすいポイントとなっています。
== 漸化式と一般項(等比形) ==(携帯版)メニューに戻る を満たす定数 を見つけると,数列 は, 初項 公比 の等比数列になるので,一般項を求めることができます.等比数列の一般項は,植木算の関係で になりますが 等比数列の和()は ではありません.上記の中間項を消す解説図をよく見ると,末項(第 n 項) ar n−1 は消えて,代わりにそれに r を掛けた ar n が残ることが分かります. だから,正しいのはA n1 , a n のままでは,定数係数にならず n の項が残るので,階差数列を作って定数係数に直す・・・階差数列では元の漸化式よりも次数が下がることを利用します. 階差数列の第n+1項は b n1 =a n2 −a n1 です. は公比 の等比数列になる. (イ) n=1 の



高校数学b 等比数列の一般項 A N Ar N 1 受験の月



等比数列前n项和 教案 中公教师网
一般項はnの1次式で表される。したがって、原数列の一般項は、等差数列の和を考えると、nの2次式になるだろう。 <まなぶ> 余計、分からなくなりました。 <先 生> では階差数列が等比数列の場合を考えてみよう。初項b、公比rとすると、 等比数列 等比数列(geometric sequence) とは、「どの項についても、ある一定の数を掛ければ、次の項になる」という性質を持つ数列です。次の数列は、等比数列の例です。\ 3,6,12,24,48,\cdots \どの項についても、2を掛けると次の項になっていますね。等比数列の一般項 等比数列の定義 等比数列の一般項 等比数列の和 等比数列の和の求め方 $\Sigma$記号 $\Sigma$記号の定義 $\Sigma$記号の定義 $\Sigma$記号に慣れる $\Sigma$の性質 $\Sigma$の性質 $\Sigma$記号の公式 $\Sigma$記号の公式 等比数列の$\Sigma$計算 いろいろな



等比數列 Daylilies



高中数学课件 等比数列的前n项和 皮皮课件网
等比数列の一般項を求める公式 $$a_n=ar^{n1}$$ $$a初項 r公比$$ 等比中項 3つの項の等比数列\(a, b, c\)について、次の式が成り立つ。 $$b^2=ac$$ 等比数列の和を求める公式 \(r\neq 1\) のとき $$S_n=\frac{a(1r^n)}{1r}=\frac{a(r^n1)}{r1}$$ \(r=1\) のとき $$S_n=na$$等比数列の第13項を求める問題ですね。 等比数列の一般項 は a n =a 1 r n1 で表せることがポイントでした。数列{an}において、各項が1つ前の項に定数rをかけたものに等しい時、この数列を等比数列という。 また、この 一定の比rを公比 といいます。 等比数列の一般項の求め方



3 2 等比数列的前n项和 一 每日头条



等比数列求和 图片欣赏中心 急不急图文 Jpjww Com
数列の基本7| 等差×等比型の数列の和は引き算がポイント 等差数列 3, 5, 7, 9, 等比数列 2, 6, 18, 54, を考えます. このような 等差×等比型の数列の初項から第 n 項までの和は, n を使って表すことができます. 狭義の等比数列では, r≠0, 1 として扱うが,本記事では,先ずは, スタンダードに, r≠0, 1 の場合について議論して, 一般項を求める。その後, r=0, 1 の場合についても個別に議論する。最後に, 全体をまとめて, 広義の等比数列を扱うものとする。等比数列の一般項 この等比数列の第 n 項つまり一般項 an は 「初項から第 n 項までには r を n − 1 個かける」 と考えて an = arn − 1 となるのはすぐにわかるだろう. また,漸化式 (1) から一般項 an を求める方法もみておこう. STEP1 漸化式 (1) の n に 1, 2



等比数列 维基百科 自由的百科全书



等比数列 对点演练卷6 2 4 等比数列 高中数学必修五 教案库
2 等差数列とは? 21 等差数列とは「はじめの数に、一定の数を足し続ける数列」 22 等比数列と何がちがう? 3 等差数列の公式の意味を説明! 31 「初項」「公差」だけを押さえれば等差数列の一般項は求められる 32 等差数列のコツ:両脇を足したら 今、任意の数列のある項を \(a_{k}\) と書きます。これは等比数列の一般項によると $$a_{k}=a\cdot r^{k1}$$ と書けます。この項の次の項である \(a_{k1}\) は \(a_{k}\) に公比 \(r\) をかけたものなので $$a_{k1}=a\cdot r^{k}$$ です。同様にその次の項は $$a_{k2}=a\cdot r^{k1}$$ でこれにより初項が3公差が2の等差数列なので一般項は となります。 ② 等比数列型の漸化式の解き方 等比数列型の漸化式を用いる前にまずは等比数列の一般項の公式を思い出しておきましょう。 等比数列の一般項は で求めることができました。



等比数列とは 一般項や等比数列の和の公式 シグマの計算問題 受験辞典



等比数列 一般項
数学B : 数列 公式集 数式の表示がおかしいときは こちら をご覧ください。 印刷用PDFは こちら 絶対憶える 憶える 復習初項 a, 公比 r の等比数列の一般項 an は an=a・rn1 注意 上式で,r≠0,n=1 のときは,r0=1 と決めます。 例題1 等比数列 {an}において,初項 3,a4=375 の公比 r と一般項 an を求めよ。



人教版高中数学必修五 2 4等比数列 二 同步练习 含答案 七七文库www 77wenku Com



等比数列 小学数学知识点



等差数列公式图 等差数列等比数列前n项和公式总结 学习岛



等比数列的前n项和公式及推导过程 飞将高考



利用等比数列求和 图片欣赏中心 急不急图文 Jpjww Com



等差等比数列公式图片 信息图文欣赏 信息村 K0w0m Com



等比数列の一般項と和 おいしい数学



高考数学考点之等比数列及其前n项和 王羽课堂



你应该想想 等比数列的求和是怎么来的 知乎



等比数列とは 一般項の求め方や和の公式を練習問題と解説でマスターしよう 高校生向け受験応援メディア 受験のミカタ



18高考必考知識點 等差數列與等比數列知識都在這了 每日頭條



等比数列的前n项和 第2课时 新人教版必修5 2 5 等比数列的前n项和 高中数学必修五 教案库



等比數列 等比數列是指從第二項起 每一項與它的前一項的比值等於同一個常數 百科知識中文網



高一下數學1 1b是非題03等比數列的公比 數列 均一教育平台



等比数列公式等比数列公式 尚书坊



等比數列的一般項 Youtube



等比数列求和公式推导 万图壁纸网



等比数列



等比数列通项公式求和怎么求 中国教育网



等比数列的性质 等比数列性质归纳总结 环球信息网



等比数列前n项和 万图壁纸网



等比数列高考题 等比数列高考题及答案 等差数列前n项和公式



等比数列含义及通项 公式 公开课教学ppt课件 Ppt 教育文库 教育资源网 新时代文库www Xsdwk Com 教育文库 教育资源网 新时代文库www Xsdwk Com



等比数列前n项和公式q是什么 扒拉扒拉



高中数学基础微练 等比数列综合应用 雪花新闻



等比數列公式gmath Dwfne



高中數學 數列綜合題 證明等比數列 常考題必須掌握



3分でわかる 等比数列の一般項 等比中項 和の公式をわかりやすく 合格サプリ



高考数学分析 等差等比数列混合运算 这真的是高考题吗 考试频道 中华教育网



高考数学考点之等比数列及其前n项和 王羽课堂



1



高中数学等差等比数列知识点例题 小s 高中学习笔记 教育 中学教育



高校数学b 等比数列 A N の一般項 2 練習編 映像授業のtry It トライイット



级数求和公式等比数列求和公式 学习岛



数论专题 斐波那契通项公式 等比数列求和公式 石旭先森的博客 程序员宅基地 程序员宅基地



等比数列 一般項や和の計算 数学の偏差値を上げて合格を目指す



等比数列の一般項と和 おいしい数学



要点梳理1 等比数列的定义如果一个数列 那么这个数列叫做等比数列 这个常数叫做等比数列的 通常用字母表示 2 等比数列的通项公式



等比数列前n项和公式 Geogebra



先利用等比数列求和公式得到 图片欣赏中心 急不急图文 Jpjww Com



高考数学 与等比数列有关的求和 高考 学习资料大全 免费学习资源下载



等比数列六大判定法



1



48s96ub7b0z5f Net Touhisuuretsu



高一下數學1 1b例題02求等比數列的一般項 數列 均一教育平台



等比数列公比的公式是什么 公比是什么意思 飞将高考



等比数列通项公式求和怎么求 有途教育



等比数列の公式まとめ 和 一般項の求め方をイチから学んでいこう 数スタ



等比数列の一般項と和 おいしい数学



高校数学b 等比数列 A N の一般項 1 映像授業のtry It トライイット



等比等差数列通项公式 信息图文欣赏 信息村 K0w0m Com



高中數學 等比數列與等比級數 1 等比數列的意義與性質 陳亮君 Youtube



高中数学 数列综合题 证明等比数列 常考题必须掌握 An



等比数列通项与求和的核心思路分析 哔哩哔哩 つロ干杯 Bilibili



71 等比數列與等比級數 數列一般式 級數求和 Youtube



讲座笔记 等比数列求和公式推导的策略思考 数学问题的解决策略 下 初中数学微课程 求知网



等比数列求和公式 搜狗百科



高中数学基础微练 等比数列综合应用 雪花新闻



高中数学最容易拿分的题 等差等比数列综合问题 你可千万别丢分 知乎



高中数学解题技巧篇 以等比数列为背景设置的题目 具体考点例析 知乎



第二章数列2 5等比数列的前n项和2学案 新人教a版必修5 Doc 课件巴巴kejian Com 课件巴巴kejian Com



010 等比数列中的中项性质等比数列高中数学 Youtube



至急お願いします 等比数列の一般項の和についてです 問題152 Yahoo 知恵袋



等比数列の一般項について この回答の仕方では不正解なんですか 等 数学 教えて Goo



高中数学 等差 等比数列混合题 常规题型更要熟练掌握 公式



While End循环结构求等比数列的和 百度经验



2



01 等比数列的概念等比数列高中数学 Youtube



漸化式とは 等差数列 等比数列 階差数列の意味と一般項を求める公式 アタリマエ



等比数列及其前n项和的考向分析



构造等比数列 求数列的通项公式 Www 366 Net Www366 Net必赢亚洲



等比数列 等差数列 简书



文都考研鹰飞集训营



等比数列の公式まとめ 一般項 和の公式 証明 理系ラボ



等比数列公式 求一定数量的等比数列和的公式 搜狗百科



等比数列什么时候学的 等比数列是几年级学的 等比数列求和公式



高中数学最容易拿分的题 等差等比数列综合问题 你可千万别丢分 知乎



等比数列とは 等比数列の意味と性質 一般項と和の公式をわかりやすく解説 Irohabook



等差数列等比数列前项和公式总结 中公教师网



等比数列公式总结 信息图文欣赏 信息村 K0w0m Com



等比数列前n项和的公式 高三网



等比中项 搜狗百科



数列前n项和公式 早做准备



等比数列の一般項と和 おいしい数学



等差公式等比公式數列 等差 等比數列求和公式 Prxbri



等比數列



高中数学必修5 等比数列的性质公式及其应用 基础 思路加技巧 哔哩哔哩 つロ干杯 Bilibili



02 应用等比数列求和公式求和等比数列的前n项和高中数学 Youtube



聖心女中 教學檔案 第2冊



高中数学 数列综合题 证明等比数列 常考题必须掌握 An



等比公式構造法求數列通項公式 Christa Belle



高中数学解题技巧篇 以等比数列为背景设置的题目 具体考点例析 哔哩哔哩

コメント
コメントを投稿